กรมส่งเสริมการเกษตร (ส่วนกลาง กรุงเทพมหานคร) รับสมัครสอบเป็น พนักงานราชการ 12 ตำแหน่ง 24 อัตรา

3.06 พัน Views

กรมส่งเสริมการเกษตร (ส่วนกลาง กรุงเทพมหานคร) รับสมัครสอบเป็น พนักงานราชการ 12 ตำแหน่ง 24 อัตรา

โลโก้ กรมส่งเสริมการเกษตร รับสมัครงานและเปิดสอบ

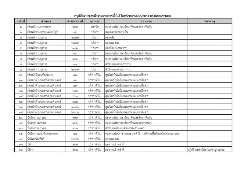
กรมส่งเสริมการเกษตร (ส่วนกลาง กรุงเทพมหานคร) ประกาศรับสมัครบุคคลเพื่อเลือกสรรเป็นพนักงานราชการ จำนวน 12 ตำแหน่ง 24 อัตรา (วุฒิ ปวส. ป.ตรี) รับสมัครสอบทางอินเทอร์เน็ต ตั้งแต่วันที่ 2-8 ส.ค. 2560

Advertisement
สถานะ : ประกาศผลสอบแล้ว ✅
🏷️ ประเภท : พนักงานราชการ
เงื่อนไขสอบภาค ก.พ.
ไม่ต้องผ่าน ก ก.พ
👥 จำนวนอัตรา
12 ตำแหน่ง 24 อัตรา
💰 อัตราเงินเดือน
-
🎓 วุฒิการศึกษา
ปวส. ป.ตรี
🗓️ ระยะเวลารับสมัคร
2-8 ส.ค. 2560
📝 ช่องทางสมัคร
ทางอินเทอร์เน็ต



กรมส่งเสริมการเกษตร (ส่วนกลาง กรุงเทพมหานคร) ประกาศรับสมัครบุคคลเพื่อเลือกสรรเป็นพนักงานราชการ จำนวน 12 ตำแหน่ง 24 อัตรา (วุฒิ ปวส. ป.ตรี) รับสมัครสอบทางอินเทอร์เน็ต ตั้งแต่วันที่ 2-8 ส.ค. 2560กรมส่งเสริมการเกษตร (ส่วนกลาง กรุงเทพมหานคร) ประกาศรับสมัครบุคคลเพื่อเลือกสรรเป็นพนักงานราชการ จำนวน 12 ตำแหน่ง 24 อัตรา (วุฒิ ปวส. ป.ตรี) รับสมัครสอบทางอินเทอร์เน็ต ตั้งแต่วันที่ 2-8 ส.ค. 2560กรมส่งเสริมการเกษตร (ส่วนกลาง กรุงเทพมหานคร) ประกาศรับสมัครบุคคลเพื่อเลือกสรรเป็นพนักงานราชการ จำนวน 12 ตำแหน่ง 24 อัตรา (วุฒิ ปวส. ป.ตรี) รับสมัครสอบทางอินเทอร์เน็ต ตั้งแต่วันที่ 2-8 ส.ค. 2560กรมส่งเสริมการเกษตร (ส่วนกลาง กรุงเทพมหานคร) ประกาศรับสมัครบุคคลเพื่อเลือกสรรเป็นพนักงานราชการ จำนวน 12 ตำแหน่ง 24 อัตรา (วุฒิ ปวส. ป.ตรี) รับสมัครสอบทางอินเทอร์เน็ต ตั้งแต่วันที่ 2-8 ส.ค. 2560กรมส่งเสริมการเกษตร (ส่วนกลาง กรุงเทพมหานคร) ประกาศรับสมัครบุคคลเพื่อเลือกสรรเป็นพนักงานราชการ จำนวน 12 ตำแหน่ง 24 อัตรา (วุฒิ ปวส. ป.ตรี) รับสมัครสอบทางอินเทอร์เน็ต ตั้งแต่วันที่ 2-8 ส.ค. 2560กรมส่งเสริมการเกษตร (ส่วนกลาง กรุงเทพมหานคร) ประกาศรับสมัครบุคคลเพื่อเลือกสรรเป็นพนักงานราชการ จำนวน 12 ตำแหน่ง 24 อัตรา (วุฒิ ปวส. ป.ตรี) รับสมัครสอบทางอินเทอร์เน็ต ตั้งแต่วันที่ 2-8 ส.ค. 2560
สมัครสอบได้ทาง https://doaecenter.job.thai.com
กรมส่งเสริมการเกษตร (ส่วนกลาง กรุงเทพมหานคร) ประกาศรับสมัครบุคคลเพื่อเลือกสรรเป็นพนักงานราชการ จำนวน 12 ตำแหน่ง 24 อัตรา (วุฒิ ปวส. ป.ตรี) รับสมัครสอบทางอินเทอร์เน็ต ตั้งแต่วันที่ 2-8 ส.ค. 2560กรมส่งเสริมการเกษตร (ส่วนกลาง กรุงเทพมหานคร) ประกาศรับสมัครบุคคลเพื่อเลือกสรรเป็นพนักงานราชการ จำนวน 12 ตำแหน่ง 24 อัตรา (วุฒิ ปวส. ป.ตรี) รับสมัครสอบทางอินเทอร์เน็ต ตั้งแต่วันที่ 2-8 ส.ค. 2560กรมส่งเสริมการเกษตร (ส่วนกลาง กรุงเทพมหานคร) ประกาศรับสมัครบุคคลเพื่อเลือกสรรเป็นพนักงานราชการ จำนวน 12 ตำแหน่ง 24 อัตรา (วุฒิ ปวส. ป.ตรี) รับสมัครสอบทางอินเทอร์เน็ต ตั้งแต่วันที่ 2-8 ส.ค. 2560กรมส่งเสริมการเกษตร (ส่วนกลาง กรุงเทพมหานคร) ประกาศรับสมัครบุคคลเพื่อเลือกสรรเป็นพนักงานราชการ จำนวน 12 ตำแหน่ง 24 อัตรา (วุฒิ ปวส. ป.ตรี) รับสมัครสอบทางอินเทอร์เน็ต ตั้งแต่วันที่ 2-8 ส.ค. 2560กรมส่งเสริมการเกษตร (ส่วนกลาง กรุงเทพมหานคร) ประกาศรับสมัครบุคคลเพื่อเลือกสรรเป็นพนักงานราชการ จำนวน 12 ตำแหน่ง 24 อัตรา (วุฒิ ปวส. ป.ตรี) รับสมัครสอบทางอินเทอร์เน็ต ตั้งแต่วันที่ 2-8 ส.ค. 2560กรมส่งเสริมการเกษตร (ส่วนกลาง กรุงเทพมหานคร) ประกาศรับสมัครบุคคลเพื่อเลือกสรรเป็นพนักงานราชการ จำนวน 12 ตำแหน่ง 24 อัตรา (วุฒิ ปวส. ป.ตรี) รับสมัครสอบทางอินเทอร์เน็ต ตั้งแต่วันที่ 2-8 ส.ค. 2560กรมส่งเสริมการเกษตร (ส่วนกลาง กรุงเทพมหานคร) ประกาศรับสมัครบุคคลเพื่อเลือกสรรเป็นพนักงานราชการ จำนวน 12 ตำแหน่ง 24 อัตรา (วุฒิ ปวส. ป.ตรี) รับสมัครสอบทางอินเทอร์เน็ต ตั้งแต่วันที่ 2-8 ส.ค. 2560กรมส่งเสริมการเกษตร (ส่วนกลาง กรุงเทพมหานคร) ประกาศรับสมัครบุคคลเพื่อเลือกสรรเป็นพนักงานราชการ จำนวน 12 ตำแหน่ง 24 อัตรา (วุฒิ ปวส. ป.ตรี) รับสมัครสอบทางอินเทอร์เน็ต ตั้งแต่วันที่ 2-8 ส.ค. 2560กรมส่งเสริมการเกษตร (ส่วนกลาง กรุงเทพมหานคร) ประกาศรับสมัครบุคคลเพื่อเลือกสรรเป็นพนักงานราชการ จำนวน 12 ตำแหน่ง 24 อัตรา (วุฒิ ปวส. ป.ตรี) รับสมัครสอบทางอินเทอร์เน็ต ตั้งแต่วันที่ 2-8 ส.ค. 2560กรมส่งเสริมการเกษตร (ส่วนกลาง กรุงเทพมหานคร) ประกาศรับสมัครบุคคลเพื่อเลือกสรรเป็นพนักงานราชการ จำนวน 12 ตำแหน่ง 24 อัตรา (วุฒิ ปวส. ป.ตรี) รับสมัครสอบทางอินเทอร์เน็ต ตั้งแต่วันที่ 2-8 ส.ค. 2560กรมส่งเสริมการเกษตร (ส่วนกลาง กรุงเทพมหานคร) ประกาศรับสมัครบุคคลเพื่อเลือกสรรเป็นพนักงานราชการ จำนวน 12 ตำแหน่ง 24 อัตรา (วุฒิ ปวส. ป.ตรี) รับสมัครสอบทางอินเทอร์เน็ต ตั้งแต่วันที่ 2-8 ส.ค. 2560กรมส่งเสริมการเกษตร (ส่วนกลาง กรุงเทพมหานคร) ประกาศรับสมัครบุคคลเพื่อเลือกสรรเป็นพนักงานราชการ จำนวน 12 ตำแหน่ง 24 อัตรา (วุฒิ ปวส. ป.ตรี) รับสมัครสอบทางอินเทอร์เน็ต ตั้งแต่วันที่ 2-8 ส.ค. 2560

ประกาศรายชื่อผู้มีสิทธิ์สอบ

🕓 ประกาศรายชื่อผู้มีสิทธิ์เข้ารับการประเมินในวันที่ 11 ส.ค. 2560 ทาง https://doaecenter.job.thai.com

ประกาศผลสอบ

🕓 - ยังไม่ระบุ -

ดูรายละเอียดเพิ่มเติม ไฟล์ประกาศสอบ


This tag : กรมส่งเสริมการเกษตร
ความรู้งานราชการ น่าสนใจ
รีวิวบ้านใหม่ ไอเดียสร้างบ้าน

ประกาศสอบมาใหม่
--แสดงเมื่อเลื่อนลง--
งานราชการได้รับความนิยม
--แสดงเมื่อเลื่อนลง--

หน้าแรก

ค้นหา

ติดตาม

Feed news

แจ้งเตือน

ติดต่อเรา : Facebook Fanpage | นโยบายเว็บไซต์

©copyright sobrachakan.com 2016 - 2026

แชร์
L
ถาม-ตอบ
Feed news
x
ข่าวใหม่
แนวข้อสอบ
ข่าวราชการ
แจ้งเตือน
• 531
• 15

ว่างตอนนี้

4.3พัน